Chandrasekhar极限
夏子睿
2025 年 2 月 22 日
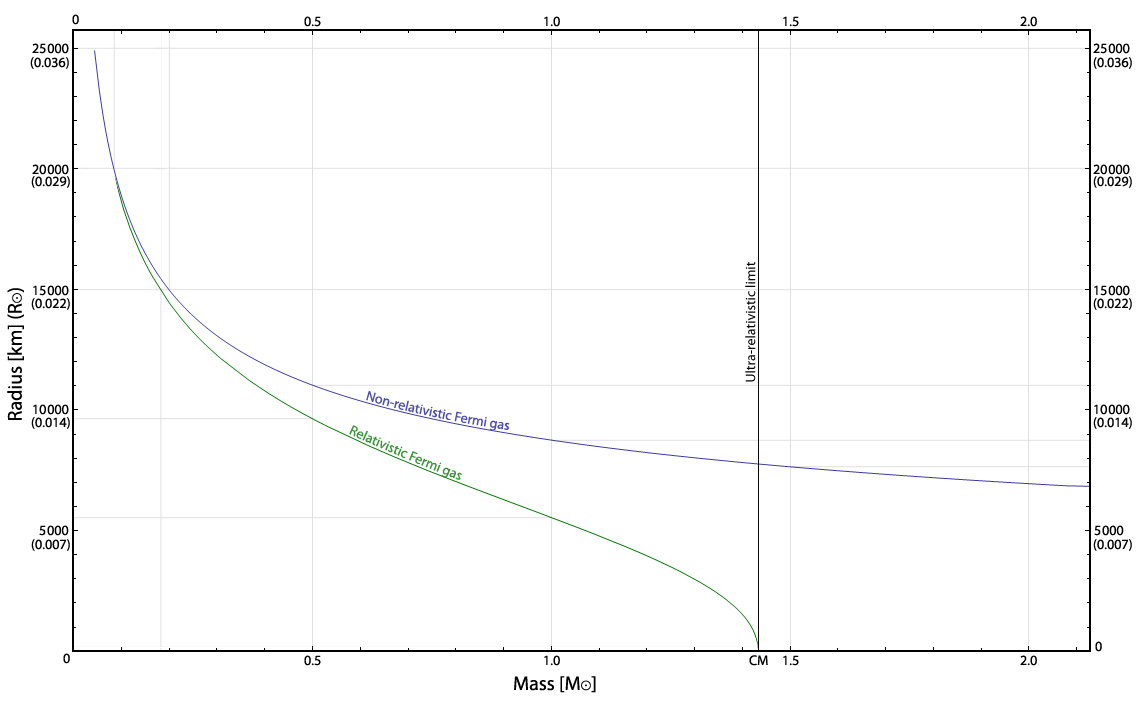
白矮星的半径–质量图像
目录
1
Lane–Emden方程
2
经典条件下白矮星的状态方程
3
极端相对论条件下白矮星的状态方程
4
一般相对论条件下白矮星的状态方程
参考文献
Top